Advanced distributed power

Author:
Mark Adams, CUI, and Mark Patrick, Mouser Electronics

Date
01/28/2017

 PDF
Making true multi-sourcing of digital DC/DC converters a reality

DC-DC converter modules have been around a long time and can be found in most power conversion stages of virtually every application today. As their use evolved to changing application requirements so did the design approach used to construct them.

One of these trends meant that in order to preserve conversion efficiency, in a distributed power architecture, it was necessary to undertake the last stage of voltage conversion as close as possible to the load. Named point of load (POL) converters, and typically powering a microprocessor or a programmable logic device such as an FPGA, this approach boosts overall power conversion efficiency in addition to improving output voltage stability resulting from stray impedances in system wiring or long PCB tracks.

As the use of a distributed power architecture grew in popularity, so did the need for provisioning different voltage rails, both regulated and unregulated, and the concept of the intermediate bus architecture (IBA) was formed (see Figure 1).

Click image to enlarge

Figure 1: Intermediate bus architecture uses multiple PoL converters on the same board (source AMP Group)

Finding the right solution

As DC-DC converter modules became a fundamental component in many designs, customers became more concerned about supply chain reliability and the need to second-source equivalent devices. Power industry trade associations led the drive to create standards to tackle these issues.

For the most part, the specifications developed addressed the important issues at that time, that of ensuring devices had a standard mechanical footprint and the core electrical characteristics of output power, input voltage range, etc. Often the standards applied to a particular category of converter such as regulated or non-regulated. What they did not address was what happened inside the converter modules themselves, such as the conversion topology, making the process of swapping out one DC-DC converter for another one from another manufacturer not as straightforward as it should have been.

These standards satisfied the industry's need for second-sourcing converters until two other related trends combined to shake up the DC-DC power conversion marketplace. The first was the launch of digital signal processing devices for use in power conversion applications that spawned the creation of digital DC-DC converters. Having the ability to influence precisely the control loop of the conversion process meant that you could vary output voltage(s) dynamically to suit load conditions. This technology trend was complemented very shortly after by a coalition of leading semiconductor vendors to establish a standard communications protocol to digitally monitor and control the power conversion process. The industry standard PMBus protocol was formed.

It should be briefly mentioned that an alternative approach to having to consider second sourcing a module is by designing a discrete DC-DC converter into the application. While discrete designs do have their merits in low power or extremely cost-sensitive high volume applications, engineering expertise and time to market are becoming increasing factors in the “make vs. buy equation.” 

Having the skills to architect an efficient conversion circuit is the reserve of experienced power systems engineers, of which there are very few. Also, given the nature of the development process, it is unlikely that an engineer would opt for this approach for a high current application due to the intricacy of the design and the expertise needed to accomplish the required outcome.

Embracing digital

Embedded developers have increasingly been adopting digital DC-DC converters over the past years. Complex programmable devices like FPGAs now require sophisticated power management functions such as device sequencing and controlling ramp rates in order to operate correctly. Also, the pressures of space-constrained applications have made board space and the need to reduce the number of external components an absolute priority, for which these digital converters are a perfect fit.

Sharing characteristics such as power switching and output filters in common with analog controlled DC-DC converters, the digital devices benefit significantly from the dynamic flexibility to control power delivery to the load in real-time and accommodate changes in load conditions on-the-fly. Communications, monitoring, and control are implemented over the industry-standard PMBus.

Improving the overall power efficiency of the power conversion system is also key. Using digital power modules also simplifies or enables many other aspects of power system design including active current sharing, voltage sequencing, tracking, soft start and stop, and synchronization. In data networking applications, this is particularly important since the power budget required increases with data throughput. Being able to adjust the converter to still operate efficiently and at a lower clock rate during low data throughput periods is vital.

At low loads the power supplies are relatively inefficient, resulting in excessive energy consumption and waste heat generation, with undesirable technical, financial and environmental consequences. By implementing a digital control loop encompassing both intermediate bus and POL converters, the intermediate bus voltage can be varied dynamically in response to varying loads. The input voltage to the POL converters can be adjusted under low-load conditions, increasing conversion efficiency at low loads.

An example of a digital POL DC-DC converter is the NDM2Z-50 from CUI (see Figure 2). This single output converter has an input voltage in the range of 4.5 to 14 VDC and a programmable output voltage ranging from 0.6 to 3.3 VDC capable of delivering up to 50 A output. Equipped with a host of PMBus-controlled features such as voltage tracking, synchronization, and phase-spreading together with monitoring key operating parameters, this highly efficient and compact converter module is available in either vertical or horizontal formats.

Click image top enlarge

Figure 2: Example digital POL DC-DC converter, the NDM2Z-50 from CUI (source CUI)

Techniques such as dynamic voltage scaling (DVS) can be used to save energy. Should the demand for compute resource reduce, then the clock frequency of a processor together with its supply voltage can also be reduced. Typically DVS, an open loop function, can be implemented by using a simple look-up table that matches pre-determined combinations of frequency and supply voltage to the processor's compute demand.

Another approach, operating as a closed loop function, is that of adaptive voltage scaling. Slightly more advanced compared to DVS, AVS adapts the voltage delivered to the processor to the minimum required taking account of its clock speed and compute loading.

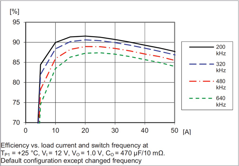
The benefit to controlling a digital converter’s switching frequency via the PMBus can be seen in Figure 3. This example, using the NDM2Z-50 mentioned above, highlights the impact that switching frequency has on the operating efficiency across all load conditions. This needs to be considered in context with other parameters such as output voltage and transient response in order to gather a complete viewpoint of the most efficient converter settings required for a given load and voltage output.

Clcik image to enlarge

Figure 3: Impact of switching frequency on efficiency for a given load condition

A digital converter also makes possible the ability to incorporate a compensation loop, which adjusts the frequency response of the closed control loop, in order to achieve the optimum transient response without affecting stability. Previously, creating the compensation network required a lot of time to perfect, including using trial and error techniques, and something that was prone to changes due to temperature and component aging.

Further developments in semiconductor process technology over the past decade have brought to market new processing devices that, while providing leaps forward in computing power, have also challenged the demands for power. No longer is regulation tolerance measured in the range of ±10 %. Levels of ±1 % have become the norm, with tolerances of ±0.5% now becoming more common. This next generation of silicon devices is also offering semiconductor vendors better yield rates thanks to digital power. Devices such as FPGAs can be optimized and binned by their ideal core operating voltage.

There is no doubt that adoption of standards by the industry has aided the process of second sourcing. This has particularly been the case with mechanical and layout specifications making drop-in replacements possible along with industry consensus regarding popular input and output voltages. However, the introduction of sophisticated power management ICs, while making the conversion process more efficient and enabling management of the converter possible, has increasingly led to a software-driven environment. The complexities this software layer brings, in terms of converter configuration parameters and control of the conversion process meant that second sourcing had another set of interoperability challenges to encounter.

Mindful that over the years the standards required for power delivery modules had not kept up with these advances, three industry leaders in digital power, CUI, Ericsson Power Modules and Murata came together to form the Architects of Modern Power (AMP Group) consortium in October 2014. Facilitating a deeply technical collaboration between the parties, the standards the AMP Group has established cover the mechanical, electrical, communications, monitoring and control specifications of a digital power DC-DC converter (see Figure 4). They are defined for both digital POL converters, sub-divided by output current, and for advanced bus converters (ABC).

Click image to enlarge

Figure 4: AMP Group standards

The NDM2Z-50 highlighted above conforms to the megaAMP standard for converters delivering full output current in the range 40 – 50 Amps. Another example of a product conforming to this standard from one of the other founding members of the AMP Group, Murata, is the OKDX-T/50-W12-001-C. Not only do the two products share identical electrical and mechanical specifications but also the configuration file from one can be used with the other.  In the Advanced Bus Converter space, examples of interoperability can be seen in CUI’s NEB-D series and Ericsson’s BMR457 series, which both meet the ABC-ebAMP standard.

 

 

 

 

 

RELATED